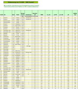
Reifemessung vom 17. September 2025 Veröffentlicht am 17. September 2025 von W.Schodl Die siebende Messung des Jahres 2025: der Vergleich mit den Vorjahren beim Grünen Veltliner: und beim Zweigelt: